¿Sabías que el mundo existe básicamente por la fuerza de atracción y repulsión? Esto se debe principalmente a las atracciones y repulsiones entre partículas, que en el medio ambiente permanecen en una forma bien equipada y equilibrada. Una de esas aplicaciones prácticas de esta teoría es la Ley de Coulomb.
¿Pero no muchos saben de qué se trata la ley de Coulomb? Bueno, para averiguar el grado de repulsión o la fuerza de atracción entre dos partículas que tienen alguna carga. Charles-Augustin de Coulomb ideó la Ley de Coulomb. Aquí en Buscador te hablaremos sobre todo esto a continuación.
¿Qué es la Ley de Coulomb?
La ley de Coulomb da una idea de la fuerza entre dos cargas puntuales. Con la palabra carga puntual, queremos decir que en física, el tamaño de los cuerpos cargados lineales es muy pequeño en comparación con la distancia entre ellos.

Por lo tanto, se les considera como cargas puntuales, ya que nos resulta fácil calcular la fuerza de atracción/repulsión entre ellos.
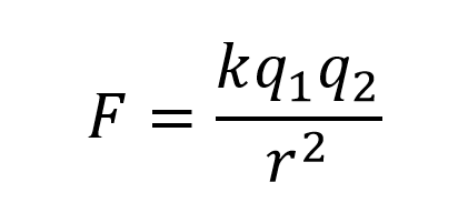
Charles-Augustin de Coulomb, midió la fuerza entre dos cargas puntuales. Resultado de esto surgió la Ley de Coulomb, que se define de la siguiente manera:
La fuerza es inversamente proporcional al cuadrado de la distancia entre las cargas. Al mismo tiempo, dicha fuerza es directamente proporcional al producto de las cargas (solo magnitudes).
Se puede demostrar con la siguiente explicación. Digamos que hay dos cargas q1 y q2. La distancia entre las cargas es ‘r’ y la fuerza de atracción/repulsión entre ellas es ‘F’. Entonces:
F ∝ q1 q2
O bien, F ∝ 1/r2
F = kq 1q 2/r2
Donde k es la constante de proporcionalidad, que es igual a 1/4 π ε 0 . Aquí, ε 0 es el épsilon cero, que significa permitividad de un vacío. El valor de k viene 9 × 109 Nm 2/C2 en el sistema internacional de medidas, con el valor de ε 0 de 8.854 × 10 -12 C2 N -1 m -2 .
Según esta teoría, las cargas iguales se repelen entre sí y las cargas diferentes se atraen entre sí. Esto significa que las cargas del mismo signo se empujarán entre sí con fuerzas repulsivas. Por su parte, las cargas con signos opuestos se empujarán entre sí con fuerza de atracción.
Charles-Augustin de Coulomb
Charles-Augustin de Coulomb, nació el 14 de junio de 1736 en Angoulême, Francia. Fue un físico, reconocido principalmente por la formulación de Ley de Coulomb. Dicha ley establece que:
La fuerza entre dos cargas eléctricas es proporcional al producto de las cargas e inversamente proporcional al cuadrado de la distancia entre ellas.
Es de hecho, una de las principales fuerzas involucradas en las reacciones atómicas.

Coulomb pasó nueve años en las Indias Occidentales como ingeniero militar. Después volvió a Francia con problemas de salud. Tras el estallido de la Revolución Francesa, se retiró a una pequeña finca en el pueblo de Blois.
Allí se dedicó a la investigación científica, y en 1802 fue nombrado inspector de instrucción pública. Coulomb desarrolló su ley mientras investigaba la ley de las repulsiones eléctricas.
Con este objetivo, inventó aparatos sensibles para medir las fuerzas eléctricas involucradas en la ley de Priestley. Luego publicó sus hallazgos entre los años 1785 a 1789.
Además, también estableció la ley del cuadrado inverso de la atracción y repulsión de polos magnéticos similares y distintos. Dicha ley se convirtió en la base de la teoría matemática de las fuerzas magnéticas desarrollada por Siméon-Denis Poisson.
También investigó la fricción de la maquinaria, los molinos de viento y la elasticidad de las fibras de metal y seda. El Coulomb, la unidad de carga eléctrica, fue nombrado en su honor.
Historia de la Ley de Coulomb
A principios de 1700, la ley de la fuerza gravitacional de Sir Isaac Newton había sido ampliamente aceptada por la comunidad científica. Esto debido a la gran variedad de problemas a los que podía aplicarse.
Durante el período 1760-1780, los científicos comenzaron a buscar una ley comparable que describiera la fuerza entre dos cuerpos cargados eléctricamente. Muchos asumieron que tal ley seguiría las líneas generales de la ley gravitacional.
En otras palabras, que la fuerza variaría directamente con la magnitud de las cargas e inversamente a la distancia entre ellas.
Sus orígenes
Los primeros experimentos en este campo fueron realizados por el matemático suizo Daniel Bernoulli alrededor de 1760. Los experimentos de Bernoulli se encontraban aparentemente entre los primeros estudios cuantitativos en el campo de la electricidad y despertaron poco interés entre otros científicos.
Sin embargo, una década más tarde, dos de los primeros químicos ingleses, Joseph Priestley y Henry Cavendish. Llevaron a cabo experimentos similares a los de Bernoulli y obtuvieron apoyo cualitativo para una relación similar a la gravitación de las cargas eléctricas.
Por su parte, Coulomb completó un trabajo concluyente sobre este tema en 1785. El físico francés diseñó un ingenioso aparato para medir la fuerza relativamente modesta que existe entre dos cuerpos cargados.

El aparato se conoce como equilibrio de torsión. El equilibrio de torsión consiste en una barra horizontal no conductora suspendida por una fina fibra de metal o seda. Dos pequeñas esferas se unen a los extremos opuestos de la barra y reciben una carga eléctrica.
Luego se coloca una tercera esfera adyacente a la esfera en un extremo de la barra horizontal y se le da una carga idéntica a las de la barra.
En esta configuración, se desarrolla una fuerza de repulsión entre las dos bolas adyacentes. Conforme se alejan, hacen que el metal o la fibra de seda se retuerzan.
La cantidad de torsión que se desarrolla en la fibra es medible, y puede ser usada para calcular la fuerza que produce la distorsión.
La forma vectorial de la Ley de Coulomb
Las cantidades físicas son de dos tipos: escalares (con solo magnitud), y vectores (aquellas cantidades con magnitud y dirección).
La fuerza es una cantidad vectorial, ya que tiene magnitud y dirección. Por lo tanto, la ley de Coulomb se puede reescribir en forma de vectores. No hay que olvidar que describimos el vector “F” como F, el vector r como r y así sucesivamente.
Sea dos cargas q1 y q2, con vectores de posición r1 y r2 respectivamente. Ahora bien, dado que ambas cargas son del mismo signo. Habrá una fuerza repulsiva entre ellas. Sea F12 la fuerza sobre la carga q1 debida a q2 y F21. La fuerza sobre la carga q2 debida a la carga q1.
El vector correspondiente de q1 a q2 es el vector r21
r21 = r 2 – r1
Para denotar la dirección de un vector desde el vector de posición r1 hasta r2 , y desde r2 hasta r1 como:

Ahora bien, la fuerza sobre la carga q2 debido a q1, en forma vectorial es:

La ecuación anterior es la forma vectorial de la ley de Coulomb.
¿Cómo se relaciona con la Ley de Newton?
Al aplicar la ley de Coulomb para averiguar la fuerza entre dos cargas puntuales, debemos tener cuidado con las siguientes observaciones. La forma vectorial de la ecuación es independiente de los signos de ambas cargas, ya que ambas fuerzas son de naturaleza opuesta.

La fuerza repulsiva F12 , que es la fuerza sobre la carga q1 debido a q2 y otra fuerza repulsiva F21 que es la fuerza sobre la carga q2 debido a q1. Son de signos opuestos, debido al cambio en el vector de posición.
F12 = – F21
Esto se debe a que el vector de posición en el caso de la fuerza F12 es r12 y el vector de posición en el caso de la fuerza F21 es r21.
Por lo tanto:
r21 = r2 – r1
r12 = r1 – r2
Dado a que tanto r21 como r12 tienen signos opuestos. También forman fuerzas de signos opuestos. Esto demuestra que la ley de Coulomb encaja en la tercera ley de Newton, es decir, cada acción tiene su reacción igual y opuesta.
La ley de Coulomb proporciona la fuerza entre dos cargas cuando están presentes en el vacío. Esto se debe a que las cargas son libres en el vacío. Por lo tanto, no reciben interferencias de otras materias o partículas.
¿Cuáles son las limitaciones de la Ley de Coulomb?
La ley de Coulomb se deriva bajo ciertos supuestos y no se puede usar libremente como otras fórmulas generales. La ley se limita a los siguientes aspectos:
- Se puede usar la fórmula si las cargas son estáticas, es decir, en posición de reposo.
- La fórmula es fácil de usar cuando se trata de cargas de forma regular y suave. Pero se vuelve demasiado compleja cuando se trata de cargas de formas irregulares.
- Además, la fórmula solo es válida cuando las moléculas de disolvente entre las partículas, son lo suficientemente más grandes que ambas cargas.
Ejemplo de la Ley de Coulomb
Este problema de ejemplo de la ley de Coulomb muestra cómo usar esta ecuación para encontrar las cargas necesarias para producir una fuerza repulsiva conocida, en una distancia determinada.
Problema de ejemplo:
La fuerza entre dos cargas idénticas separadas por 1 cm es igual a 90 N. ¿Cuál es la magnitud de las dos cargas?
Primero es importante dibujar el diagrama de fuerzas del problema:

Después hay que definir las variables:
F = 90N
q1 = carga del primero cuerpo
q2 = carga del segundo cuerpo
r = 1 cm
A continuación se emplea la ecuación de la Ley de Coulomb:
![]()
En el ejemplo se indica que las dos cargas son iguales. Por lo tanto:
q1 = q2 = q
Luego se sustituye esto en la ecuación:
![]()
Ya que lo que se busca son las cargas, entonces se despeja para q:
![]()
![]()
Entonces se ingresan los valores de las variables. No hay que olvidar convertir 1 cm a 0.01 metros para mantener las unidades consistentes.
![]()
q = ± 1,00 × 10-6 culombios
Debido a que las cargas son iguales, las dos cargas son positivas o negativas. Dicha fuerza será repulsiva. Por lo tanto, la respuesta al ejemplo de este problema es la siguiente:
Dos cargas idénticas de ± 1,00 × 10-6 culombios separados por 1 cm producen una fuerza repulsiva de 90 N.
Video sobre la Ley de Coulomb
Si necesitas más información, continuación puedes ver este video sobre la Ley de Coulomb.
Fuentes:
Toppr – Coulomb’s Law
https://www.toppr.com/guides/physics/electric-charges-and-fields/coulombs-law/
BYJU’S – Coulombs Law
https://byjus.com/jee/coulombs-law/
Science Jrank – Coulomb